A resting place in woodlawn
Explore the Woodlawn Gillespie Mausoleum, a private family burial structure located within the historic Woodlawn Cemetery. Discover its history and significance within the Erskine family legacy.

Discover Woodlawn Cemetery
Woodlawn Cemetery, a national historic landmark in the Bronx, New York, was founded in 1863 and spans over 400 acres. Renowned for its landscape designs, architecture, and extensive collection of private mausoleums, it includes the Gillespie Mausoleum, a significant feature within its grounds.

The Gillespie Mausoleum
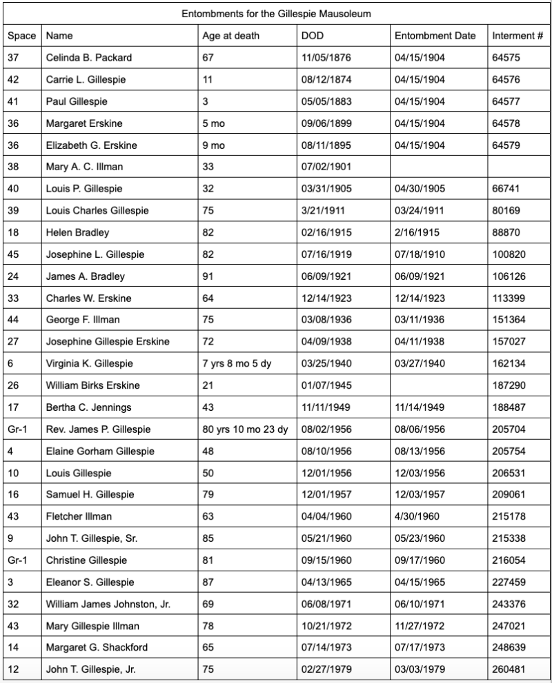
The Gillespie Mausoleum is situated in Woodlawn Cemetery's Chestnut Hill Plot, Section 125, Lot 10960. Officially known as the L.C. Gillespie Mausoleum, it serves as the final resting place for the Gillespie family. It's a serene and private space for family members.

Inquiries and additional information
The primary occupant is Louis Charles Gillespie (December 2, 1835 – March 21, 1911). Also interred are Samuel Hazard Gillespie and his wife, Josephine Luce Packard Gillespie. Diana Westcott Paterson holds a complete list of the deceased and the number of available crypts. For more details, contact Diana at dewpaterson@gmail.com.